Skip to content

[1,2]-Wittig 重排

简介

hevc.png

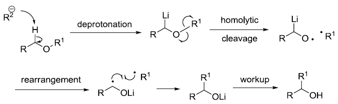
强碱处理醚重排得到醇的反应。常用的强碱有烷基锂或LDA等。烷基锂会拔掉醚的α位酸性相对较强的取代基的亚甲基上的氢。

机理

可能的机理有两种可能,一种是[1,2]-单电子转移重排,另一种可能的机理是自由基重排。

单电子转移:

首先烷基锂拔掉醚的其中一个取代基的α位酸性相对较强的亚甲基上的氢,然后进行[1,2]-单电子转移重排得到醇。

hevc.png

自由基机理

hevc.png

特点

注意事项

相关案例

氮杂

hevc.png

hevc.png

hevc.png

注意,还有1,4wittig重排的副反应发生

hevc.png

基于 MIT 许可发布